Rate Calculations

How to:

How to calculate rates

Rates for Work-RISQS are calculated by dividing the Work-RISQS estimate by the selected worker population number. The number of workers can be obtained from the Employed Labor Force (ELF) query system.

For example, the rate of injured and ill workers aged 15 years and older in 2012 is 2,774,400/142,950,828 = .019. There were .019 work-related injuries and illnesses per worker treated in emergency departments in 2012.

To present the rate among a group of workers, multiply by the desired value. For example, multiplying by 100 provides a rate of 1.9 work-related injuries and illnesses per 100 workers treated in emergency departments in 2012.

Tip: In order to present accurate and meaningful data, we recommend that you report rates with no more than two significant figures.

How to select a worker population (denominator)

In order to calculate meaningful rates, the estimate for the selected worker population (denominator) should be the best possible match available for the Work-RISQS estimate (numerator). For ELF estimates to match Work-RISQS estimates as closely as possible, consider the following:

  • To present a rate by the number of workers affected, select Number of workers in Step 1 of the ELF query system.
  • To present a rate by number of full-time equivalent (FTE) workers affected, select FTE. Using FTE moderates variations in exposure that occur between individual workers who work more than 40 hours a week and those who work fewer than 40 hours a week. One FTE equals 2,000 hours worked per year.
    • Step 1 offers the option to choose among three types of FTE labor estimates: FTE (Primary job), based on primary job hours worked; FTE (Secondary job), based on secondary job hours worked; and FTE (All jobs), based on all job hours worked. Data used in Work-RISQS capture injuries that occur in all jobs, regardless of priority (i.e., primary, secondary, etc.). Therefore, FTE (All jobs) generally provides the best match with Work-RISQS query results.
  • Selected parameters should be consistent between Work-RISQS queries and ELF queries. For example, if the Work-RISQS numerator is the number of ED-treated injuries among females in 2012, the ELF denominator should be the number or FTE of working females in 2012.
  • Work-RISQS offers the option to exclude workers 14 years old and younger; by default, it includes workers of all ages. ELF offers the option to include 15-year-old workers; by default, it includes only workers 16 years and older. In order to produce Work-RISQS and ELF estimates from equivalent populations that include workers under the age of 16, you must check the Exclude youth <15 yrs box in the Demographics section of Work-RISQS and check the Include 15 year olds box in the Demographics section of ELF. ELF results are weighted differently depending on whether or not 15-year-old workers are included in the population. For more information, see the the letter I in a circle pop-up text next to Exclude youth <15 yrs in the Work-RISQS Demographics window and the an exclamation mark in a yellow diamond pop-up text next to Include 15 year olds in the ELF Demographics window.
 Top of Page

How to calculate confidence intervals for rates

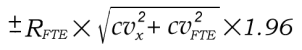
Given that rates obtained from NEISS-Work query results are based on weighted estimates that generally have large confidence intervals, we strongly recommend presenting confidence intervals with all rates. The variance of NEISS-Work rate estimates is calculated by pooling the variances for the injury estimate and the worker population estimate. In general, the variance about the injury estimate is large with respect to the variance in the worker population estimate. The confidence bounds, expressed as an amount to be subtracted or added to the injury rate, are:

contact us for an accessible equation
Where:
contact us for an accessible equation = Rate of injury per FTE
contact us for an accessible equation = Coefficient of variation of the injury estimate = (95% Work-RISQS estimate confidence interval/1.96)/Work-RISQS estimate
contact us for an accessible equation = Coefficient of variation of the employment FTE estimate = (ELF estimate standard error/ELF estimate)

To calculate the standard error for an ELF estimate, refer to the instructions provided in the Standard Error Calculations section of the ELF Technical Information page.

 Top of Page
Page last reviewed: August 29, 2024
Content source: National Institute for Occupational Safety and Health (NIOSH) Division of Safety Research